Home
Pendaftaran/Login
Informasi
UMUM
SERAGAM
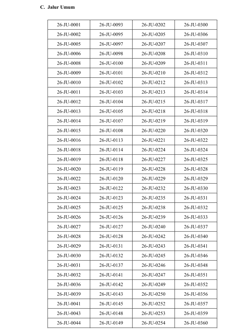
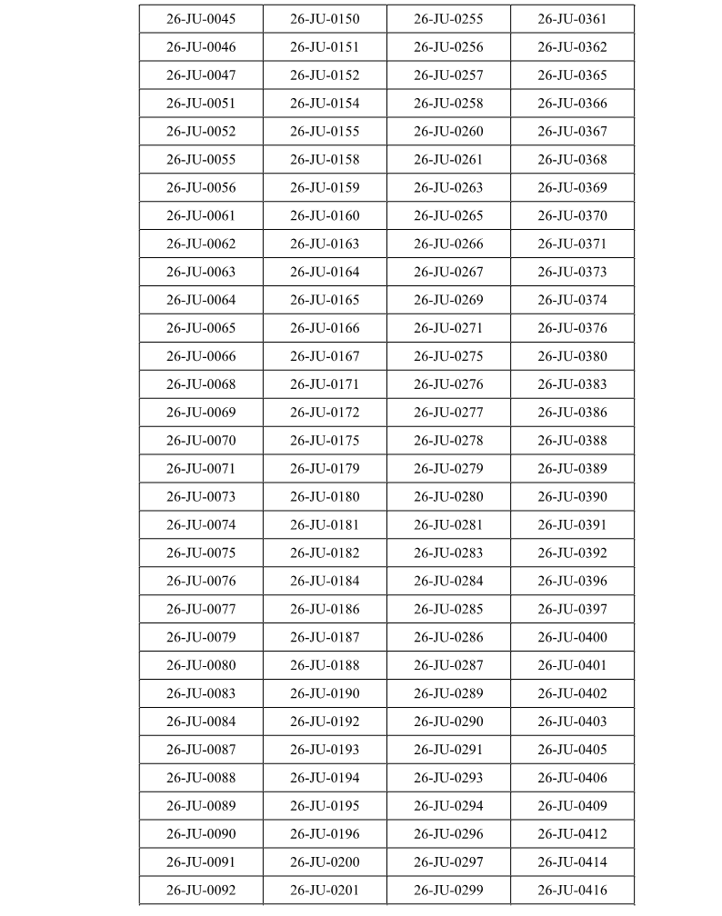
PENGUMUMAN SPMB
SOSIALISASI FINANSIAL
PENGUMUMAN PSIKOTES
PSIKOTES 2026
Panduan
Alur Pendaftaran
Informasi PENGUMUMAN SPMB